CHAPTER 3

FULL SIZE ANALYSIS

3.1 INTRODUCTION

Now that the problems and the performance of the models has been studied the next step is to look at full size slender hull forms. The easiest way to start is to scale the model yachts up to full size and evaluate their sailing performance. The test model will be used as the basis hull as it has shown good performance and all its lines and hull information are known. As a starting point all aspects of the model will be scaled up, this will include rig, keel and all other appendages. This may seem ridiculous but we must consider all aspects of the models design as they are all related to its performance. The size of the final scaled up model is limited by the final beam of the vessel when it is increased in size. Due to the beam restrictions a vessel of around 50 feet or 15.24m in length would be a reasonable starting point as it would give a deck of 1.64m. This size of yacht would also allow the yacht to be compared to the Open 50 class of racing yachts. The Open 50 and Open 60 classes of racing yachts are generally accepted to be at the forefront of racing yacht design and development. Also since the class is used for offshore racing they tend to use long high aspect ratio bulb keels which are similar to those used on models. The length of the keel on the scaled up model would be 5.4m, this is still larger than those used by the Open 50’s although the length of the keels being used is around 3.5 - 4.6m and increasing each year. In the present Vendee Global 1996-97 channels had to be dredged into some of the ports for some of the vessels. Also to help in the analysis a model skimmer dish design was scaled up to the same length to act as a comparison and to see if there is any difference in performance when the vessels are scaled to full size. An illustration of the type of yachts being used by the Open 50 and Open 60 classes is shown in Figure 3.1. As can be seen they are currently using yachts with very large beams. The dimensions of the two test hulls are provided in Tables 3.1 & 3.2.

 

Figure 3.1, Open 60 Design

 

 

 

Table 3.1, Slender hull Hydrostatics

 

 

 

 

Table 3.2, Wide hull Hydrostatics

 

  

3.2 PERFORMANCE ANALYSIS

The first stage is to analyse the performance of the two vessels and see if there are any differences in the performance of full size vessels and the corresponding models. Initially it was decided to carry out resistance calculations on the two hulls and see if there were any advantages from a resistance point of view. It was decided to use the Delft series which is a model extrapolator series. Unfortunately it soon became apparent that this series would not work well for super slender hull forms as there was a restriction on length to beam ratio. This problem is clearly shown when the residuary resistance of the vessel from the Delft series is plotted against the beam of vessel while keeping all other values constant. The graph which this produces is shown in Figure 3.3.

 

As can be seen from the figure once you go below a beam of around 3.1m for a length of 15m the resistance curve increases considerably which would give values which are obviously incorrect. The only other way to continue with this line of approach was to use a different series for the resistance calculation. After discussion it was found that Series 64 model resistance extrapolator would accept large beam to length ratios and might be applicable to slender hull forms. After obtaining a copy of the Series 64 it was found that the hull speed range for the series was too high at around 30-37 knots, and also it was not designed for use with yacht hulls.

 

It was initially decided to incorporate one of these resistance series into a V.P.P. (Velocity Prediction Program) but after looking at papers written on V.P.P’s and talking to students who had produced or were working on these programs it became apparent that it would require too much time to write one of these programs which are really projects in themselves. Fortunately a V.P.P. developed by the Wolfson Unit became available for use, and after some discussion and looking at information obtained from the Wolfson Unit it was found that their resistance calculation was developed from the Delft series but had no restrictions on length to beam ratio and should work for a slender hulled yacht. Computer models were produced of the scaled up models and entered into the V.P.P. The rig and hull appendages used in the computer model for both hulls were identical and were taken from the test model (Dreams), this was done so that the effect of the hull shape could be analysed.

 

3.2.1 V.P.P RUN 1

The results from the tests are very interesting indeed and show that the slender hulled vessel has better performance in lower wind speeds up to around 12 - 14 knots were after the skimmer dish hull form would start to perform better. It was possible to run the two hulls against each other and time the results. This allows the difference in time to be calculated for the two hulls which produced results which were slightly unexpected. The better performance of the skimmer dish hull form in higher wind speeds could be put down to planing as the V.P.P. does take this effect into consideration, although when you examine the time differences you find that the skimmer dish hull only finishes first when in wind speeds of 12 knots or higher and when travelling at 32° - 90° to the wind. You would normally expect the skimmer dish to perform better when running down wind as it would be planing, but the results seem to indicate otherwise.

 

When examining the resistance information for the two vessels you can see the expected results that the slender vessel has lower total upright resistance than the skimmer dish even in higher wind conditions. If we relate this back to the performance results for the skimmer dish in higher wind speeds there must be an additional factor which is reducing the performance of the slender hull. One possible factor is the heel angle of the two vessels. Since both vessels are carrying the same sail area and have the same KG values, and the only difference in righting moment is provided by the hull forms, you would expect the slender hull to heel more than the skimmer dish hull as the wider hulled yacht has a higher BMT. Linked in with this is a feature of the V.P.P which reefs the sails when the vessel exceeds a certain heel angle. This could be the reason why the slender hull is loosing performance at high wind speeds. As the wind speed increases the two vessels would start to heel with the slender hull heeling more. At a specified heel angle the computer program would automatically reef the sails, and since the slender hull would reach this heel angle before the skimmer dish hull, the available power to the slender hull would be reduced. This reduction in sail area could account for the loss in performance.

 

3.2.2 V.P.P RUN 2

The next step from the first run through the computer was to run the V.P.P without the reefing option, it was predicted that this could be causing the loss of performance in high winds going to windward. The results from the run are quite interesting as the performance is not increased, it actually decreases. This is best seen when looking at the times over a single nautical mile. The results are the same up to wind speeds of 16 knots, but after this speed the times start to decrease with the skimmer dish hull having increasing advantage. This goes against the theory that had been formed relating the performance loss due to the reefing. To try to understand what was happening it was decided to view the information on the heel angles for the slender yacht with and without the reefing option. It is from these results that the reason for the increase in performance loss can be seen quite clearly. The heel angles in both situations are the same in the low wind speeds with and without the reefing option, but in the region where the performance loss increased the heel angles start to increase considerably. The maximum difference in heel angles for the slender hull form occurred in 30 knot winds sailing at an angle of 60° to the wind with an increase in heel angle of 7.7° from 32.8° to 40.5°. This increase in heel angle would reduce the efficiency of the sails considerably as they would start to "spill" air reducing the lift generated. In the same wind speed and at the same sailing angle to the wind, the heel angle for the skimmer dish was 27.3° with the reefing option on, and 32.2°, which is only an increase of 4.9°.

 

The information from run 2 proved very interesting as it illustrates a possible disadvantage with the slender hull form in stronger wind speeds. It does however illustrate the need for a careful choice of rig as the heel angle is obviously a very critical part of the performance.

 

 3.2.3 V.P.P RUN 3

All the previous runs through the V.P.P have been with the yachts in calm water conditions. Obviously this is reasonable for assessing performance, but it is better if the performance can be assessed in conditions which the vessel is likely to be operating in, and that means waves. Nearly every vessel produced is going to operate in waves and racing yachts are one of them. The V.P.P being used allows the performance to be assessed in waves, so it was decided to run the two yachts in this condition. It should be noted at this point that the Wolfson Unit stressed that the results of the performance in waves are not an accurate representation of the performance of the yacht in waves, and should not be taken as accurate. Initial expectations were that the slender yacht would excel in these conditions, as its wave piercing bow and fine waterlines would cut through the waves with ease, while the wider yacht would start to struggle.

 

The results from the runs in waves were very interesting indeed. The results show that the skimmer dish yacht out performs the slender hulled yacht in all wind speeds to windward, while the slender yacht out performs the skimmer dish in all wind speeds downwind. These results are the complete opposite of what would be expected, as stated the slender hull form was expected to excel when heading to windward, while its performance down wind would not be as impressive. The skimmer dish hull was expected to show good results downwind as it would "surf" down the waves, while its upwind performance was expected not to be as good as the slender hulled yacht.

 

It was decided to investigate these results, as if they are correct they illustrate a major problem in the slender hull design. The first stage was to examine the results carefully. The first point that became clear was with the time differences over one nautical mile. The results as mentioned show the skimmer dish hull finishing with times well ahead of the slender hull when sailing at angles less then 90° to the wind in all wind speeds. Looking at the time differences the greatest time difference occurs in 4 knot wind at 32° to the wind. The total time it would take the slender yacht to complete the nautical mile would be 2186 seconds, while the skimmer dish yacht finishes 377 seconds before the slender yacht. In racing terms this is a large time gap, and when this is compared to the results of run 1 with no waves, where the time difference was 17.3 seconds with the slender hull finishing first, the added time due to the waves is massive. Further analysis of the time differences in waves and without waves shows another interesting point. All the time differences above a sailing angle of 90° are identical to the time differences without waves. This cannot be right as the waves should effect the yacht when sailing at all angles to the wind. To try to explain this the results available from the V.P.P were examined. It was found to be possible to print out the added resistance in waves for each wind speed and sailing angle to the wind, shown in Table 3.3. This explains the results being the same as each other for above 90° sailing angles. The added resistance in kg is greater than zero only for angles less than 90°, while above this angle the added resistance is zero. Although this explains why the times are the same it does not explain why the added resistance is zero above sailing angles of 90°. The only way to find the answer is to look at the calculation technique being used.

 

The resistance being calculated by the program is that of added resistance in waves. The concept behind the process involved in the formation of the added resistance is best explained in ref. [4]. The author explains that:

 

"when a yacht moves in a seaway, the waves impose motions of all kinds on the hull. The most important ones, from a resistance point of view, are the heave and pitch motions, which are usually strongly coupled. When the hull heaves and pitches it generates its own wave system, which carries energy away in much the same way as the still water wave pattern, thereby creating a resistance force".

 

The author also explains that some added resistance is also obtained from rolling due to vortices being shed at the tip of the yachts keel. The calculation method for this method has been produced by Professor Gerritsma at the Delft University of Technology. Ref. [5] explains in detail the method used for calculation of the added resistance in waves. The first point of interest that comes out from reading the paper is a limitation for the calculation, which is that the calculation is only reliable when the waves are coming from forward of the beam, in other words when the yacht is sailing below 90° to the wind when the waves are coming from the wind direction. This explains the zero added resistance due to waves found in the V.P.P results, as the program designers must have decided to ignore waves effects above this angle, due to the warning that the calculation method is not reliable once you exceed 90°. This however does not explain the massive time differences between the two yachts when sailing upwind. One possible explanation could be to do with the actual equations used. Ref. [5] provides an equation for calculating the added resistance due to waves (RAW) which is linked directly to the Delft resistance series. This series has limitations in certain ratios one being the length to beam ratio which cannot be greater than 1:5. This was mentioned in Section 3.2 and Figure 3.3 illustrates the problem by showing that the resistance increased dramatically once this length to beam ratio was exceeded. This could also be the case with the added resistance in waves and could explain the large time differences between the two yachts.

 

Another possible reason for the large time differences could be down to the different moment to cause trim (MCT) values for the two yachts. As has been mentioned the added resistance in waves is dependant on heave and pitch responses. Ref. [6] explains that the level of pitching has been found to influence the added resistance in waves considerably. Relating this back to the MCT values for the two vessels, the slender hull form is more likely to pitch more than the skimmer dish yacht as its MCT is lower. This could be the reason for the greater added resistance on the slender hull.

 

The manuals for the V.P.P were obtained and the information regarding the added resistance in waves was studied. The manuals do not give the exact method which is used to calculate this value, but they do give a rough idea. The method used is based on the method given in ref. [5] but some of the coefficients have been altered. The manual does state that this method is very similar to the method being used by the current IMS rule V.P.P although the base values being used are different. If the base values are examined, it soon becomes apparent that the procedure may have the same problems as the Delft resistance series as the length to beam ratio is 1:3.33 for the base value. Also information from the Wolfson Unit has proved that the calculation method may not be accurate, as they have recommended not using the added resistance in waves unless it is absolutely necessary as the results may not be accurate.

 

From this it is reasonably safe to conclude that the results from the performance in waves are incorrect as they do not fit in well with the results from the model tests. The model tests showed no real problems when sailing in waves, although the waves were not very large the performance loss indicated by the V.P.P would have appeared in some form during the tests. Also due to the inaccuracies in the added resistance in waves, and also the removal of the effects when travelling down wind, it is hard to obtain any feel for how the yachts would perform in waves from these results.

 

This is an area which could be investigated further as it is critical to the performance of the yacht. If computer modelling is unable to provide accurate solutions the only option is to do model tests, but due to time and cost limitations this has not been possible.

Table 3.3

 

3.3 STABILITY TESTS

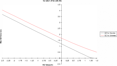
Before running the two models through the V.P.P the variation of the GZ curve for the two hull forms had been investigated by varying the KG value from -2.5m to 1.5m with 0.25m steps. GZ curves were plotted for each step and the maximum value of GZ for each KG value was plotted on the same graph for both hulls. The resulting graph can be seen in Figure 3.4. As can be see the graph is as expected although the slender hulls GZ value does go negative when the KG is high at 1.5 m. On examining the GZ curves for various values of KG you start to see a major difference in the graphs. The first difference is that for KG values of between -2.5m and 0.75m the slender hull has a vanishing angle of 180°. The skimmer dish hull form on the other hand has a vanishing angle of 180° when the KG is in the range of -2.5m to -1m. The next major difference is when you look at the shape of the graphs. In the case of the slender hull, as the KG value rises the point of maximum GZ moves to higher angles of heel, while in the case of the skimmer dish the point of maximum GZ moves to lower angles which is what you would normally expect. The position of the maximum GZ value for the slender yacht could be the cause of the problem in the V.P.P runs. In high wind speeds where the slender hull form was found to loose performance to the skimmer dish the slender hull form would be heeling to a higher angle due to the lower GZ value. If you look at the graphs shown in Figure 3.5, the GZ curve for the skimmer dish rises reasonably quickly to its maximum value and then drops off, in the case of the slender hull the GZ curve rises slowly to it point of maximum value, which is at a higher value of heel than the skimmer dish’s maximum value. This means that the slender hull form will heel to a much greater angle before it can compensate for the heeling moment. Comparing the graphs shown in Figure 3.6 and Figure 3.7, the reason for the performance loss becomes apparent. As can be seen from the graphs the point of maximum restoring moment would occur at higher heel angles for the slender hull form than for the skimmer dish. Obviously in higher wind speeds since the slender yacht is heeling more the sails will be less efficient and this will account for the loss in performance. However the GZ and V.P.P tests do seem to indicate the need for a reduced heeling moment to reduce the heel angle if the performance is to be increased.

 

Figure 3.3

 

Figure 3.4

 

 

Figure 3.5

 

Figure 3.6

 

Figure 3.7

 

3.4 MOTION

Motion is one of the most important aspects of how a vessel performs. The main reason for this is the effect that this has on the crew of the vessel. If the crew are reasonably comfortable they will perform well and the overall performance of the vessel as a whole will improve. If however the crew are finding the voyage uncomfortable and becoming stressed by the motions due to lack of sleep, the performance of the vessel will be effected considerably. It is one thing to design a yacht that can obtain speeds higher than all the other vessels, but the designer must remember that without the crew the yacht is useless, as the two are a linked part of the equation. Motion must also be looked at from a safety point of view, some extreme motions can lead to the capsize of the vessel and in some cases loss of life.

Roll is the motion which effects the crew the most and there are a number of causes.

 

3.4.1 AERODYNAMIC INDUCED ROLL

This cause would normally be considered as a major cause of roll, but C. A. Marchaj in ref. [3] proves otherwise, the author shows that the sails when sailing on a windward leg act as a heavily damped system and work together with damping provided by the hull and appendages. The author does however show that yachts may roll excessively which can result in a capsize or knockdown. The author explains the reason as being that the sails start to work against the damping provided by the hull and appendages and actually induce roll into the system when sailing at angles of 120° to 160° to the wind. The yacht then has to roll to dissipate the energy absorbed by the sails. This situation normally known as dynamic instability which can cause major damage to the vessel, can be overcome by the crew when sailing as they can modify the situation by changing the angle that they sail to the wind. The author also points out that the static stability curves that are plotted to measure safety in so many of the rating rules are not an indication of how safe the vessel is, as it is the dynamic stability that is important. The author explains that a vessel that may have a good GZ curve that complies with all the safety regulations, but it may still be knocked down (due to the roll induced by the sails) in conditions where the size of the waves is negligible.

3.4.2 WAVE INDUCED ROLL

One of the most common reasons for roll is roll induced by waves. All vessels (with only a few exceptions) are going to experience waves in their life. Each vessel will react different to the same wave, the factors that influence the response of the different vessels taken from ref. [3] are listed below:

     
  • The relation between the natural period of rolling and the wave period.
  • The shape of the hull, its stability, weight and mass distribution.
  • The wave slope.
  • The damping efficiency of the underwater parts of the hull.
  • The speed of the boat and course sailed, relative to wave crest.

 

Before continuing it is worth explaining how the waves cause the vessels to roll. Some may think that the roll motion is introduced by waves breaking and slamming against the side of the hull causing it to roll. This is a valid idea but it is not the whole story. In situations where the waves are not breaking, it is changes in the location of the centre of buoyancy that induces the roll motion. Since the forces acting on the vessel (mainly gravity and buoyancy) are not in equilibrium, the vessel rolls to try to obtain equilibrium between the centre of gravity and the centre of buoyancy. Since this is a dynamic system the wave profile is changing and therefore the location of the centre of buoyancy of the hull is also dynamic, and changing, it is this constant movement of the centre of buoyancy, and the mass inertia of the vessel that causes an oscillatory motion to become set up in the system. Variations in the factors that are listed above would all cause different vessels to behave in different ways. The moment causing the roll motion is equivalent to the displacement multiplied by the righting lever. This moment is the same as the righting moment when the vessel is heeled with the lever being the same as the GZ value. The larger the roll moment the faster the vessel will oscillate. This causes an uncomfortable ride for the crew who can deal better with larger roll periods, and also induces high accelerations which can increase structural loading. As has been stated the condition of the crew both mentally and physically is very critical, as this will not only effect how the vessel performs but can also effect safety on the vessel. If this information is related back to the tests carried out on the GZ curves for the two test models, it soon becomes clear that the slender hulled yacht will roll with a larger period than the wider hulled yacht, as its GZ value is around 10% less than the wider hull. There will of course be other differences due to the damping effect from the hull forms, but since they both have the same rig and appendages this should be the only difference. It must however be remembered that the effect of the waves is only going to make a difference if the yacht is sailing down wind or the waves are very large with respect to the yacht. If the vessel is sailing upwind the rig is going to reduce the roll motion as explained in section 3.41. As most designers know it is vital that resonance should not occur between the vessel and the waves as extreme motion is likely to occur which could result in a knockdown, structural damage or even loss of life. The way this condition is overcome is to ensure the natural period of the waves and the natural roll period of the yacht do not coincide. Ref. [3] provides the following formula for calculation of natural roll period.

 

(GM) metacentric height

(Ir) Transverse mass moment of inertia + Added mass due to vessel motion

(D) displacement

 

As has already been found the roll period is inversely proportional to the static stability of the vessel represented here by (GM) as this is directly related to righting lever, however the other factor Ir is also important. The mass moment of inertia in roll is simply mass x distance from CG ². Since a large mass moment of inertia is required for larger roll periods, the designer has to position large mass objects as far from the CG in the transverse plane. The keel and mast contribute largely to the mass moment of inertia, and on a racing yacht which will probably have a bulb keel the contribution can be quite high.

 

If the two test models when scaled up to full size were caused to roll, as has already been stated the slender yacht would roll with a greater period due to its lower GZ value, however the value of the mass moment of inertia would be similar as they both use the same rig and keel, but the beam of the yacht also influences the inertia as the wider the beam the larger the mass moment of inertia. Also it must be remembered that it is easier to increase the inertia of the skimmer dish when sailing, by moving any crew members onto the gunwales or by using water ballast tanks.

3.4.3 PITCH POLING AND BROACHING

Pitching has already been mentioned with relation to models and some of its more disastrous side effects have been explained. In a model the loss of deck structure or the mast may cause the loss of a race, but the yacht can be retrieved and repaired. However if this were to happen to a full size yacht the results can be catastrophic. A good example of this was in the 1996-97 Vendee Globe when Raphael Dinelli pitch poled his yacht and lost the rig, the yacht failed to right and sank, and he had to be rescued by a fellow competitor. Although a rather extreme example of what can happen the yachts must be designed to reduce this effect. A pitch pole can occur when the rig becomes overpowered and it pushes the bow down under the water. Another problem is broaching, this is a combination of heel, pitch and yaw. The yacht heels and starts to trim by the bow, the bow starts to bury and finally the yacht stops dead in the water. This is probably the more problem and is the cause of carrying too much sail and using a hull form that heels asymmetrically.

 

The straight forward pitch pole will not be covered as it has already been explained in section 2.1 and 2.2.2. Broaching however is generally only found in yachts with wide sterns and quite narrow bow sections, and length to beam ratios of below 1:3. The reason for this condition is shown in Figure 3.7. As can be seen the centre of buoyancy would be moved towards the stern when the yacht heels, this causes a change in longitudinal trim at the bow. The trim at the bow is also increased by influence from the sails as they are producing a pitching moment.

 

Figure 3.8, Hull form which can induce broaching

 

The designer can attempt to overcome this problem by making the waterlines as symmetric as possible in the longitudinal direction, but this reduces the planing capabilities of the wide stern. Relating this to the two full size test models the wider hull form is going to be more susceptible to this condition due to the wider stern sections, while this condition is unlikely to occur on the slender hull as the stern sections are not considerably wider than the bow sections.

 

3.4.4 CAPSIZE RISK

Capsize is usually considered as the worst thing that can happen to a vessel, as the risk of loosing the vessel completely is at its highest. Capsize is usually caused by a dynamic roll over of the vessel due to its response to rolling moments. This can be caused by a single large wave or a group of large waves. The entire system can be looked at as energy transfer from the waves to the vessel, and from the vessel back into the water. As has already been discussed GZ relates to the rolling moment and therefore the greater GZ the greater the rolling moment, and the greater the energy transferred from the wave. The greater the rolling moment the greater the risk of capsize. C. A. Marchaj in ref. [3] discusses an experiment carried out on three hull forms, a parent model, a wide beam hull and a slender hull. Since GZ is related to the beam of the vessel, the author explains that the wider hull form should be more susceptible to capsize than the two other hulls. The results from the experiment uphold the authors predictions, in 4.0m and 4.5m waves the narrow hull was only knockdown to 120° while the parent and the wide hull were completely rolled. The author explains that the wide hull rolled to a higher heel angle as it rose up the wave, and on impact with the breaking wave crest the leeward deck edge was seen to dip into the wave face. The author also states that the narrow hull absorbed the impact of the breaking crest by slipping sideways down the wave instead of rolling. In 5.5m waves the author explains that all three hull were inverted but the narrow hull was the only one to right its self.

 

Although these experiments are not completely applicable to the two test models used in this project, as the hull appendages would effect the response of the yachts, it does seem to point to a higher risk of capsize with the wider beamed vessels.

 

 3.5 ACCOMMODATION

Accommodation is a major consideration when designing any vessel whether it be racing or cruising, it is also one of the main differences between model yachts and full size vessels. On a model yacht the only thing that has to be contained within the hull is the radio equipment to operate the yacht, on a full size yacht however it to must contain the equipment required to operate the yacht, but in this case the equipment is human beings. People require certain items that are important such as a place to sleep, a place to cook and eat and finally a toilet and shower facility of some description. There are also other aspects such as the amount of space on deck to work, as this is vital to the performance of the yacht. The actual amount of space available depends on the size of the crew, a single hander requires less space than a crew of six to ten people, and also the amount of time the yacht is going to be at sea. This is the main area where the slender hull forms start to have problems, due to their small beam they tend to have less internal volume than a wider yacht of the same length. Their only real advantage would be in head room, the reason being because of the increase canoe body draught compared with the skimmer dish hull form which has a low canoe body draught. The low beam of the slender hull forms would also cause a major problem when it came to the deck layout for equipment and the cockpit. The designer must make a compromise between the size of the cockpit and the width of the walkway around the side of the yacht.

 

As was mentioned in section 3.1 the two test models being used were scaled up to match the size of the Open 50 class. These yachts are generally used for single handed sailing and would therefore suit the slender hull forms better, as less internal volume is required for one person compared to ten. It is also this issue of internal volume that restricts these super slender hull forms to racing and not general cruising. Some of the first slender hull forms used in the 1870’s were said to be so narrow that a broad shouldered man would have to turn edgeways to get below. This reduced accommodation and lack of deck space around the cockpit areas is probably one of the main reasons why these slender vessels are looked upon by a large number of sailors as ridiculous. The low beam at the deck edge could be the one major down fall of the super slender yacht, although it would not be impossible to design a cockpit arrangement, and internal layout for such a vessel.

 

One area that a designer wishing to design the internal layout for a super slender yacht could look, would be that of catamaran or trimaran design. These yachts use very slender hull forms and practical internal layouts have been produced. This could be an interesting area for further study, as this seems to be a major disadvantage for the super slender monohull.

 

 

3.6 STRUCTURAL CONSIDERATIONS

The structural design of the yacht will effect how safe the yacht will be, how she will perform and also her life span. The yacht must be designed for her purpose and also for the type of environmental conditions that she is likely to encounter. Looking back at the results from the model tests section 2.3, the main critical area seemed to be around the mast hull interface. Figure 2.8 shows the mast pin used on the model, and also shows the condition of this pin after sailing in relatively light wind conditions. This indicates very high compression loads on the mast and on the step where it joins with the hull or deck. Also the need for a frame system under the mast to reduce the chance of hull damage, indicates the need for the designer to take extra care with the hull and internal structure around the mast base and the chain plates. The hydrostatic forces imposed on the hull of a narrow yacht are less than the hydrostatic forces imposed on a wider vessel. This is shown in ref. [7] which gives a very interesting example. The author explains that in a comparison between a 40ft wide beam yacht, and a 60ft narrow yacht of the same displacement, the amount of hull material required is the same, as the hydrostatic forces on the narrow hull are lower. Whether this takes account of the higher loads from the rig is not clear, but it does illustrate a possible advantage. If this is compared with the two test models, the skimmer dish hull would need more material than the slender hull form, this would mean a weight advantage to the slender hull form, allowing a higher ballast ratio, and in theory a lower KG value. Previous sections of this project have showed that a lower KG or higher GZ value is not always a good thing, so therefore if the lower material weight was used from a safety point of view, the hull strength could be increased making the yacht safer without any loss in performance.

 

Structural problems are becoming a common problem in today’s light composite racing yachts. The use of materials like Carbon Fibre and Kevlar, linked with foam or honeycomb core materials, is causing the number of yachts complaining of delamination to grow each year. One of the more recent yachts to suffer from this was the massive 43m monohull TAG Heuer which suffered irreparable delamination soon after launch. The reasons put forward for these problems are usually poor construction or high slamming loads at sea. The high slamming loads are linked with the yachts motion and its hull shape. As was discussed in section 3.4 the higher the GZ value the higher the accelerations which increase the structural loading. The wider the vessel and the flatter the hull sections, the greater the chance of slamming. Slamming is generally accepted as happening most in the forward section of the yacht, but in large waves and when the yachts are travelling at high speed it is not uncommon to have the yacht become totally air born, this imposes very high loads on the hull when the yacht impacts with the surface of the sea. The low beam on the slender yacht would reduce the loading on the hull from slamming, but considerations would have to be taken to look at longitudinal bending moments when the yacht is travelling in waves. The low buoyancy in the bow sections may cause the yacht to bury its bow into waves, and actually travel through waves instead of over them. This would induce high bending moments in some conditions. However the use of large amounts of buoyancy in the bow would not solve the problem as this too could induce high bending moments. Which of the two conditions would produce the highest loads is unknown and would have to be looked at in a later study, although some concept super slender fast ferries have been reducing buoyancy in their bow sections, as they have found this to reduce the bending moments imposed on the hull.

 

Most yachts are designed structurally to rules such as the ABS rule. However it must be remembered that the rules may not be designed for yachts at this extreme end of the spectrum, and the loads may have to be calculated by using a Finite Element approach.

 

Looking at the two yachts used in the project the length of the keel being 5.4m would require careful structural design, and also the ballast ratio would increase the loads on the keel and the keel hull interface. The large single rudder would also increase the loading on the area around it.

 



If you have any questions or comments please E-Mail:
anthony.york@zetnet.co.uk
© Copyright 1998 Anthony York